RB19 🏎️
Today, I went to a conference at the Oracle office and was thrilled to unexpectedly see the RB19 there!
We live in a time when algorithms quietly shape what we see, think, and feel, often not for our benefit but to keep us scrolling. Feeds have become engines of outrage and addiction, rewarding the loudest voices over the most meaningful ones. At Digg, we believe in a different
Lately, I’ve been spending some time exploring the Bay Area, and honestly, it’s been pretty awesome. The food here? Absolutely next-level. There’s such a cool mix of flavors from all over the world it’s like a foodie’s dream come true. But that’s only if you know where to find th
Given that there are so many vibe coding tools out there (Cursor, Windsurf, Claude Code, Codex, Replit, Lovable, etc.), what’s actually worked best for you in practice? Do you also have some kind of agentic pipeline set up, like integrating with Jira/Linear or automating other de
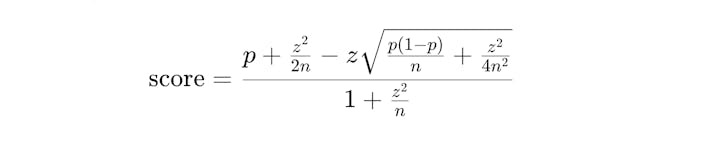
Here is a simple explaination: System finds the best post not just based on diggs but other interactions as well and should really stand out of the crowd like not just trend but explode in terms of interaction. Each interaction like diggs, comments matters and once it breaches t
Reddit has filed a lawsuit against Anthropic, accusing the AI company of scraping user-generated content without consent, violating contractual terms and California law. Anthropic, despite claims of prioritizing honesty, allegedly trained its models on Reddit data without permission.
Roll credits.